欢迎您来到广西轻工技师学院官网!
网站首页
学校概况
学院简介
学院领导
上级关怀
历史沿革
学院标识
校园文化风采
学院荣誉
石柱岭校区
五象校区
沙井校区
机构设置
党政群团部门
教学系部
教育教学
教学管理
教研教改
技能竞赛
师资队伍
党群之窗
纪检工作
党建动态
党纪党规
教学系部
机电技术系
食品技术系
信息技术系
商贸服务系
汽车技术系
队伍建设
校园文化
团学工作
社团活动
培训鉴定
培训成教
技能鉴定
//=$value2['name']?> //=$value2['name']?> //=$value2['name']?>
校企合作
合作项目
交流动态
招生实习就业
招生简章
就业信息
实习信息
招聘招标
采购信息
招聘信息
通知公告
技工教育联盟
联盟简介
通知公告
联盟动态
1
2
3
4
上一张
下一张
当前位置:
首页
>
通知公告
>
详情
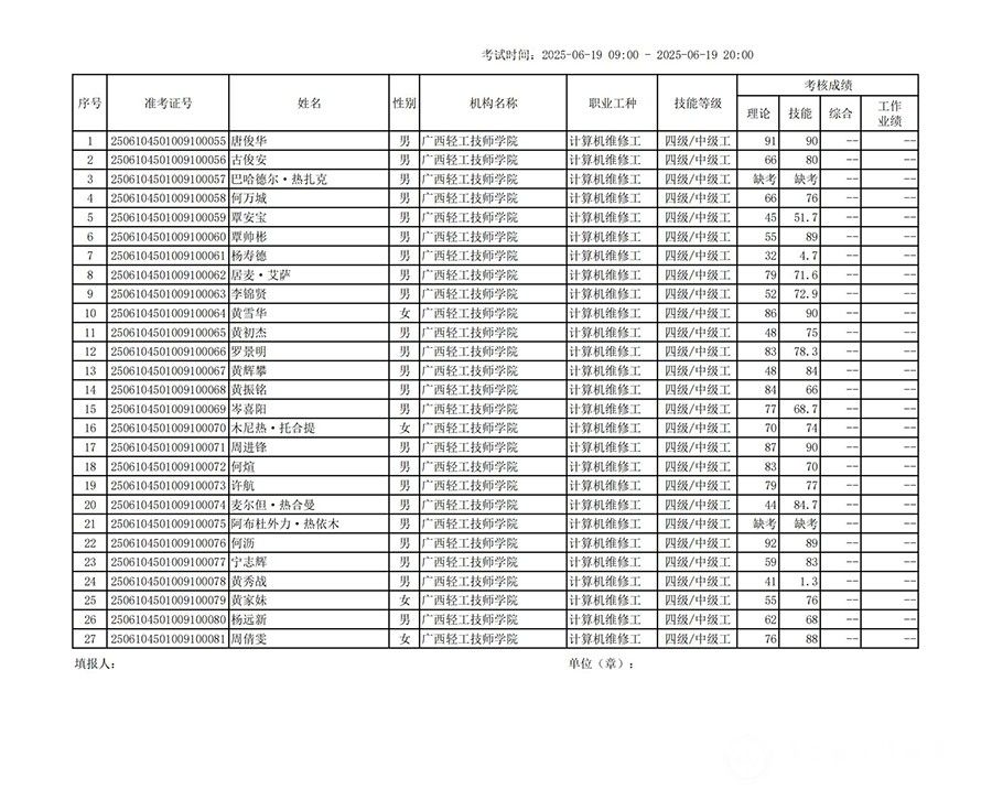
20250619广西轻工技师学院第18批四级计算机维修工52人职业技能等级认定成绩公示
作者:  广西轻工技师学院      
发布时间: 2025-06-23 15:22:28
     浏览数: 2828
学校概况
机构设置
轻工要闻
教育教学
党群之窗
教学系部
队伍建设
校园文化
培训鉴定
校企合作
招生实习就业
技工教育联盟
新生报名
系部动态
其他栏目(备份用的栏目)
专题栏目
影视聚焦
下载中心
通知公告
招聘招标
南宁市江南区石柱岭一路13号
邮编:530031
电话:0771-4831963
监督电话:0771-4820979
桂ICP备12002097号
版权所有 © 广西轻工技师学院
网警备案号:45010502000039